Criminal Law Civil Law 1 and 2 Optional Printed Notes by Ambition Law in English for Judicial Service Entrance and Other Competitive Exam Preparations 2024. Notes Possesses 22 Booklets and a total no of 4360 pages.Â
Following are the booklets that Complete the Notes:-
I – Criminal Law:-
- Hindu Law
- Muslim Law
- Indian Evidence Act
- Indian Penal Code-IPC
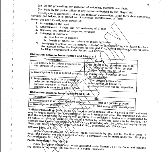
- Criminal Procedure Act-CrPC
II – Civil Law-I :-
- Limitation Act
- Partnership Act
- Law of Contract
- Specific Relief Act
- Sales of Goods Act
- Indian Contract Act
- Transfer of Property Act
- Consumer Protection Act
- Negotiable Instrument Act
- Arbitration and Conciliation Act
- Bailment & Pledge Identify Guarantee
III – Civil Law-II :-
- Law of Tort
- Jurisprudence
- Registration Act
- International Law
- Constitutional Law
- Civil Procedure Code
